Dotierung und Kennlinie
Unter Dotierung versteht man gezielte Verunreinigungen des hochreinen Substrates, beispielsweise Silizium. Das Silizium ist vierwertig und hat eine sehr exakte Kristallstruktur. In diese Kristallstruktur fügen sich nun vereinzelte Atome der Dotierungsstoffe ein.
Das Bild zeigt eine klare Struktur eines reinen Silizium-Kristalls – hier in der Darstellung aus Atomkern (Si) und den Elektronen (-). Durch diese Struktur sind alle Plätze des Valenzbandes voll besetzt.
Es muss an dieser Stelle ganz klar erwähnt werden, dass die elektrischen Verhältnisse aus Protonen und Elektronen nach wie vor ausgeglichen sind. Insgesamt ist das gesamte System nach außen hin also elektrisch neutral. An der Stelle, wo ein Elektron im Schema fehlt, spricht man von einem Loch bzw. von einem Akzeptor. Im Gegensatz dazu wird ein überschüssiges Elektron in dieser Struktur als Donator bezeichnet. Die Anzahl der Akzeptoren wird in den folgenden Beziehungen mit NA, die der Donatoren mit ND bezeichnet.
Innerhalb der Gitterstruktur sorgen die Unregelmäßigkeiten allerdings für eine gewisse Bewegung. Hin und wieder lösen sich Elektronen aus der Struktur und werden wieder von einem „Loch“ eingefangen. Man spricht von der Rekombination. Die Bewegung der Ladungsträger wird durch äußeren Energiezufluss angeregt. Dabei ist allein schon die Wärmeenergie bei Raumtemperatur ausreichend. Eine zusätzlich von außen angelegte (Sperr-)Spannung erweitert diese Raumladungszone, jedoch nur bis zum Erreichen der maximalen Feldstärke.
Eine Diode besteht nun sowohl aus einer positiv als auch einer negativ dotierten Schicht. An der Grenze zwischen diesen Schichten finden besonders intensive Wanderungen der Ladungsträger statt. Sie „diffundieren“ von einer Schicht in die andere. Freie Elektronen wandern im Kristallgitter und besetzen Löcher in der Gitterstruktur.
Durch die Diffusion der Ladungsträger entsteht nun allerdings um die Grenze der beiden Schichten ein elektrisches Ungleichgewicht. Zwar wirkt die Gitterstruktur nun homogen, denn die Elektronen der negativen Zone besetzen die Löcher der positiv dotierten Zone, jedoch sind die Zonen nun nicht mehr elektrisch neutral. Grund: Die Anzahl der Protonen ist nicht mehr gleich der Anzahl der Elektronen! Es entsteht ein elektrisches Feld. Der Bereich, in dem sich dieses elektrische Feld aufbaut, wird als Raumladungszone bezeichnet. Die Feldstärke ist naturgemäß unmittelbar an der Grenze am stärksten und nimmt mit der Entfernung ab.
Man kann die Raumladungszonen in einer vereinfachten grafischen Darstellung beschreiben. Die beiden Flächen sind gleich groß. Ein Bereich mit einer geringeren Ladungsdichte, ist also entsprechend breiter. Die Ladungen sind im Gleichgewicht (Qp = Qn).
Unter der Annahme, dass die Dotierung in den Schichten gleichmäßig erfolgt ermittelt sich die Feldstärke durch Integration der Ladungsträgerdichte.

Trägt man dies grafisch auf, so ist im positiven wie im negativen Bereich eine Sättigung zu erkennen. Wie bereits erwähnt, wirkt das sich aufbauende Feld mit zunehmender Entfernung von der Schichtgrenze einer weiteren Ladungsträgerdiffusion entgegen. Aus den Potenzialen an den Grenzen der Raumladungszone kann somit die Durchbruchspannung UBR der Diode abgelesen werden.
Über die Breite der Raumladungszone entstehen durch das elektrische Feld Spannungspotenziale. Das Potenzial zwischen xp und xn bei maximaler Feldstärke entspricht der Durchbruchspannung der Diode in Sperrichtung (UBR).
Die Kennlinie einer Diode ist die Konsequenz aus den Ladungszuständen der Halbleiterschichten und den sich daraus aus den angelegten Potenzialen ausbildenden elektrischen Feldern.
Beim Blick auf die Kennlinie wird ein Unterschied zwischen der so genannten Durchlass- und der Sperrichtung der Diode erkennbar. Wird an eine solche Diode eine externe Spannung angelegt, so dass deren positives Potenzial an der P-dotierten und deren negatives Potenzial an der N-dotierten Schicht wirkt, so drückt die externe Spannung die jeweils gleich polarisierten Ladungsträger von sich fort hin zur Grenzschicht. Der sich dort ausbildende Überschuss von Ladungsträgern führt zu einem Stromfluss. Anders sieht es nun aus, wenn das positive Potenzial der externen Spannung an die N-dotierte und das negative Potenzial entsprechend an die P-dotierte Schicht angeschlossen wird. Die freien Ladungsträger im Halbleitermaterial suchen den Weg zum entgegengesetzten Potenzial und verlagern sich in Richtung der Anschlussklemmen. Das hat eine Verbreitung der Raumladungszone zur Folge, was sich messtechnisch wie ein sehr hochohmiger Widerstand darstellt. Die Diode sperrt.
Nach dieser einfachen Überlegung lässt sich sehr grob auch die Tatsache erklären, dass eine Diode nicht sofort leitend wird, wenn sie in Durchlassrichtung beschaltet wird. Erst nach Überschreiten der Durchlassspannung kann ein Strom fließen. Wie hoch diese Durchlassspannung ist, hängt von sehr verschiedenen Faktoren ab:
-
das Material des Halbleitersubstrates
-
die Temperatur
-
die Dotierung
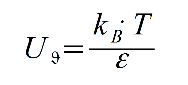
Die Temperatur ist ein sehr wichtiger Faktor in der Halbleitertechnik, denn diese – angegeben in Kelvin – ist direkt proportional zur Durchlassspannung. Die Temperatur multipliziert mit einer Naturkonstante, dem Verhältnis der Boltzmannkonstanten zur Elementarladung, ergibt die so genannte Temperaturspannung. Dieser Wert ist noch unabhängig vom Halbleitermaterial und dessen Dotierung und liegt bei Raumtemperatur (20°C bzw. 292 K) bei 25,16 mV. Steigt die Temperatur um 10 K an, so beträgt dieser Wert 26,02 mV.

mit

und 1 J = 1 VAs sowie
mit 1 C = 1 As
Ein weiterer Faktor sind die Eigenschaften des Substrates und die Dotierung des Basismaterials. Wie bereits erwähnt, werden die Halbleiterschichten mit Fremdatomen verunreinigt, deren Menge im Verhältnis zur Atomzahl des Substrates ausgesprochen gering ist. Hier werden Größenordnungen von 0,1 bis 100 ppm (Parts per Million) genannt. Entscheidend für den Einfluss auf die Durchlassspannung ist allerdings das Verhältnis der freien Ladungsträger. Hier steht die Summe der Akzeptoren (NA) und Donatoren (ND) im Verhältnis zu den freien Ladungsträgern des Substrates (intrinsische Ladungsträger, ni). Die Intrinsischen Ladungsträger sind nur in sehr geringer Zahl vorhanden, jedoch ist kein Halbleitermaterial (im undotierten Zustand) ein perfekter Isolator. Das Verhältnis hat eine Größenordnung von elf bis zwölf Zehnerpotenzen.
Abweichungen in diesem Verhältnis zwischen ähnlichen Halbleitern werden in den Bauteiltoleranzen erfasst. Substratmaterialien wie Silizium oder Germanium unterscheiden sich in diesem Verhältnis erheblich, was u.a. die unterschiedlichen Werte der Durchlassspannungen begründet.
Das Verhältnis der Ladungsträger wird mit dem natürlichen Logarithmus angegeben:
Das undotierte Halbleitersubstrat wäre nur extrem schlecht leitend und schon eher als ein Isolator zu bewerten. Das bedeutet, dass dessen eigene freie (intrinsische) Ladungsträgerdichte ni nur sehr klein ist. In der Formel wird sie zudem noch im Quadrat im Nenner des Bruches berücksichtigt. Insgesamt errechnet sich die Durchlassspannung der Diode nach folgender Gleichung:
Eine zweischichtige Diode ist durchaus gängige Praxis. Allerdings sind diese Dioden im Kleinsignalbereich zu finden. Die Stromfestigkeit kann zwar durch geeignete Größen sehr hoch werden, jedoch ist die Höhe der Durchbruchspannung in Sperrrichtung begrenzt. Im Bereich der Leistungselektronik sind diese Dioden deswegen kaum zu finden.
Leistungsdioden
Die Spannungsfestigkeit einer Diode für den Einsatz in Hochspannungsumgebungen erreicht man, indem man zwischen die stark dotierten P- und N-Schichten noch eine sehr schwach – meist N – dotierte „eigenleitende“ bzw. „intrinsische Schicht vorsieht. Entsprechend der Abkürzung dieser Schichtung – P-dotiert, (i)ntrinsisch und N-Dotiert – spricht man von der PIN-Diode. Dieser Diodentyp hat sowohl in der Leistungselektronik als auch in der Hochfrequenztechnik eine große Bedeutung.
In der Hochfrequenztechnik wird die PIN-Diode als Gleichstrom gesteuerter Widerstand verwendet. In der Leistungselektronik bewirkt die intrinsische Schicht eine hohe Spannungsfestigkeit des Bauteils bis in den Kilovolt-Bereich hinein.
Einsatz in der HF-Technik
Für Frequenzen im zweistelligen MHz-Bereich wirkt die PIN-Diode wie ein ohm'scher Widerstand. Sie hat allerdings an dieser Stelle eine Besonderheit aufzuweisen, denn wird das Wechselspannungssignal von einer Gleichspannung überlagert, wirkt diese sich auf die Ladungsträgerdichte in der eigenleitenden Schicht aus und hat damit Einfluss auf die Leitfähigkeit der Diode insgesamt. Je größer die Anzahl der Ladungsträger, umso kleiner der Widerstand für das Signal. Zum Einsatz kommen PIN-Dioden in Hochfrequenzschaltern und in HF-Amplitudenreglern.
Eine gewöhnliche Diode (a) ist in der Leistungselektronik nicht zu verwenden. Zwar kann deren Strombelastbarkeit durch geeignete Dimensionen recht groß sein, jedoch liegen die in der Energietechnik verwendeten hohen Spannungen deutlich über die Durchbruchspannung. Mithilfe einer zusätzlichen intrinsischen (eigenleitenden) oder schwach N-dotierten Schicht wird die Durchbruchspannung deutlich angehoben. Man bezeichnet diese Diode nach ihrer Struktur als PIN-Diode.
Schaltverhalten der Diode
Die Sperr- und Durchlassbereiche in den Kennlinien einer Diode sind weitgehend linear, jedoch nicht ideal. Für einzelne bzw. langsame Schaltvorgänge genügt es allerdings, allein mit der Kennlinie zu arbeiten. Hier ist lediglich die Verlustleitung zu beachten, die sich aus der nicht idealen Kennline ergibt. Sie kann erheblich werden und zur Zerstörung des Bauteils führen, wenn die Grenzwerte erreicht und überschritten werden. Zu beachten sind auch die üblichen Fertigungstoleranzen, so dass sich stets die Notwendigkeit ergibt, die Schaltung für die ungünstigsten Verhältnisse zu dimensionieren (Worst Case), um einen zuverlässigen Betrieb sicherstellen zu können.
(rs/12-2015)